EN
首页
学院概况
学院简介
学院领导
院士风采
发展历程
机构设置
党建工作
党建活动
学习园地
主题教育
师资队伍
师资力量
主要专家学者
在职教师队伍
博士后
离退教师
学科专业
学科设置
专业设置
科学研究
最新动态
科研平台
科研成果
公益论坛
人才培养
本科教育
研究生教育
学生工作
就业信息
实验实践
通知公告
规章制度
仪器设备介绍
大型仪器设备共享平台
实践基地
交流合作
校企合作
国际交流
校友之窗
校友快讯
校友风采
历届毕业生合影
首页
学院动态
通知公告
校园文化
媒体轻工
专题专栏
网站首页
>
首页
>
通知公告
> 正文
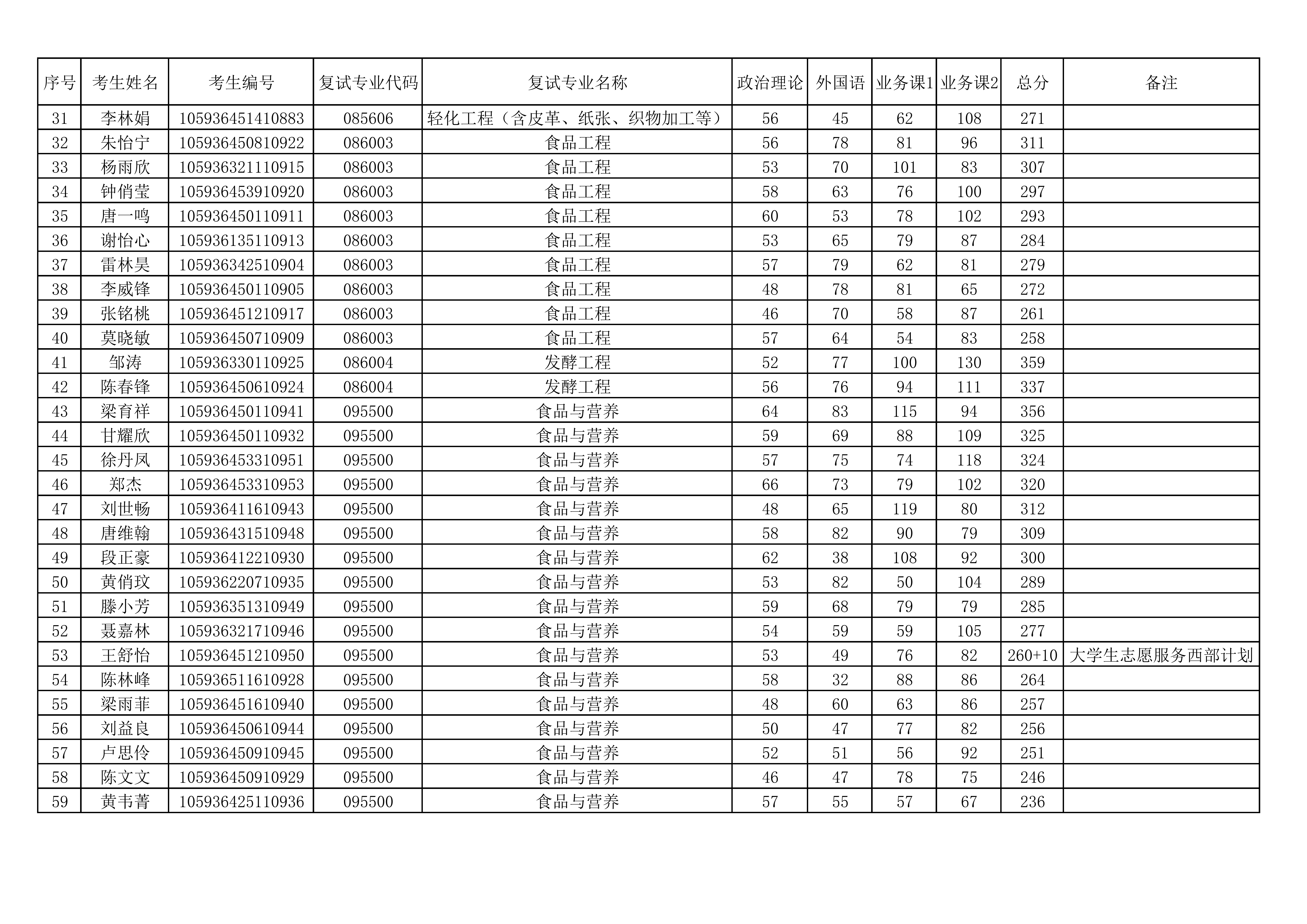
关于公布广西大学轻工与食品工程学院2026年硕士研究生拟复试名单(第一志愿)的通知
来源:
日期:2026-03-23 阅读数:
、
上一篇:
广西大学轻工与食品工程学院2026年硕士研究生复试日程安排(第一志愿)
下一篇:
轻工与食品工程学院2026年硕士研究生招生复试录取实施细则
↑